MENU
会員ページに移動
各種リンク
お問い合わせ

2024年最新版「筋トレと有酸素運動は干渉するのか?問題」【YouTube動画-11】

有酸素運動をすると筋トレが無駄になる!

ようじゅ

こんな話を聞いたことがあるかもしれませんが、これは”同時トレーニング(=Concurrent Training)”と呼ばれるもので研究の世界ではよく知られた話です

同時トレーニングは、1980年に有酸素運動が筋トレの筋適応を邪魔する”干渉効果(Interference Effect)”が報告されたことが始まり。

ようじゅ

しかし、この分野も例にもれず時代によって考えが二転三転しています

  • 1980年:同時トレーニングによる干渉効果が見つかる
  • 2012年:メタ分析によって同時トレーニングの干渉効果が決定的(?)になる
  • ~2020年:干渉効果を防ぐ方法が見つかる
  • 2024年:干渉効果は気にするほどでもなさげ←イマココ

2024年最新版の”同時トレーニング”についてお伝えします。

動画はこちら

「有酸素運動と無酸素運動は干渉し合うのか?」時代

同時トレーニングを発見した1980年の研究

事の始まりは1980年に行われた『筋トレ適応と有酸素適応は同時にできるの?』という研究。(R)

この当時に分かっていたことは2つあります。

  • 筋トレは筋肥大を引き起こすが、酸素運用能力はあげない
  • 有酸素運動は酸素運用能力を上げる

そこで研究者は『筋トレと有酸素運動、両極端の適応って同時にできるのか?』と疑問を持ちました。

要するに『マッチョなマラソンランナーは実現できるのか?』という話。

この疑問に答えるべく行われたのが1980年の研究で、筋トレと有酸素運動を同時に行わせてみたもの。

1980年の研究(R)

トレーニング未経験者23人を集め、3つのグループに分けた。

  • 週5で筋トレをするグループ
  • 週6で40分のサイクリングをするグループ
  • 週5の筋トレと週6の有酸素運動を両方するグループ

研究者は被験者を『筋トレだけvs有酸素だけvs同時にトレーニング』に振り分けました。

10週間後に筋力や筋肥大、有酸素運動能力について計測した。

まず筋肥大についての結果が下記。

  • 筋トレだけのグループはベースラインより筋肥大した!(+2.3cm)
  • 筋トレ&有酸素でも筋肥大した!(+1.7cm)
  • 有酸素グループは筋肥大しなかった!(-0.1cm)

筋トレをしたグループは、有酸素運動をしていようと筋肥大しました。

そして有酸素運動だけをしたグループは筋肥大しないという結果に。

次に筋力をあらわすスクワットの重量を測定した結果は以下のとおり。

スクワットの重量(S:筋トレ E:有酸素)

筋トレだけのグループ(S)が線形に増加しているのに対して、筋トレ&有酸素(S+E)のグループは途中から筋力が低下していることがわかります。

ついでに有酸素運動の結果についても掲載しておく。

統計的には差はありませんが、有酸素運動でも同様に筋トレと組み合わせるとなんとなく有酸素運動だけよりも干渉しそうな感じになっています。

結果を要約すると、有酸素運動と筋トレの適応はどうやら干渉しそうだということがわかったのである。

2012年「同時トレーニングの存在」を確定的にしたメタ分析

筋力はわかりやすい結果だけど、筋肥大とか有酸素運動能力の差は微妙だし...本当に干渉効果はあるの?

その疑問に答えたのが2012年のメタ分析です。

2012年のメタ分析で干渉効果が明確になる

一度"同時トレーニング"という概念が発見されると続々と後続の研究が出てくる。

そして知見がたまっていき、次に行われるのはメタ分析。

『同時トレーニング:有酸素運動と筋トレの干渉を調べるメタ分析』というそのまんますぎるメタ分析が2012年に満を辞して登場します。

2012年の研究(R

筋トレだけvs筋トレ+有酸素運動を比較した研究21件を抜き出したもの。

アウトカムは筋力/パワー/筋肥大のいずれかで、同時トレーニングの干渉効果を調べた

ちなみに、筋力(Strength)は単純に持ち上げられる重量で、パワー(Power)はそこにスピードの要素が加わったものです。

例えば同じ100kgをベンチプレスできた場合は筋力は同じだが、爆発的に挙上したほうがパワーが大きいことになる。

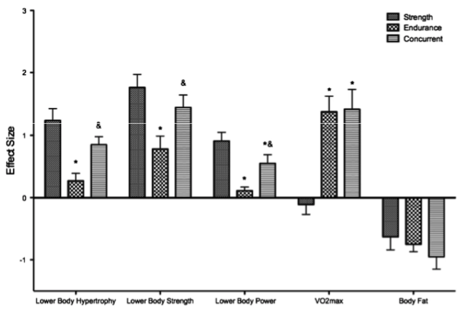
まず全体の結果は下記の通り。

2012年のメタ分析の結果

Strength:筋トレ Endurance:有酸素 Concurrent:筋トレ&有酸素
  • *Significant difference at p < 0.05 from strength training. 
  • &Significant difference at p < 0.05 from endurance training.

顕著に阻害されたのがパワー。筋肥大と筋力は有意差なしになっています。

他にもいくつかわかったことがある。

有酸素運動の時間を増やすほど筋トレへの適応が阻害される

有酸素の時間(ボリューム)が増えれば増えるほど筋トレ効果が阻害されるという発見である。

Hypertrophy:筋肥大 Strength:筋力 Power:パワー

有酸素運動に費やす時間が増えるほど、筋トレの効果も阻害されるという用量依存性の関係が見つかったことになります

有酸素運動の"頻度"に関しても同様で、頻度が増えるほど筋トレ効果が阻害されるという結果に。

この指標は"時間"とほぼ同じなので、有酸素運動をやるほど筋トレ効果が阻害されると覚えておけばOKです。

サイクリングよりもランニングのほうが筋トレ効果を阻害する

そしてもう一つ、サイクリングよりもランニングのほうが筋トレ効果を阻害する可能性が出てきました。

有酸素運動の種類による干渉効果の違い

*Significant difference at p < 0.05 from the running concurrent group.

有酸素運動の種類を分けて分析すると、ランニングに関しては有意に筋肥大を阻害するという結果になりました。

同時トレーニングのメカニズムは?

男性

そもそもなんで同時トレーニングなんてものが起こるの?

ようじゅ

同時トレーニングの理論的説明には、細胞レベルの説明と組織レベルの説明があるのでそれらを説明していきます

同時トレーニングのメカニズム①mTORとAMPK

まずは細胞という生命の基本単位からみた説明をしていきます。

筋トレという外部刺激によって細胞内でAkt→mTOR(mammalian target of rapamysin)というものが活性化される。(R)

mTORは筋肥大にとって重要な位置を占めるシグナルとされています。mTOR活性化=筋肥大と聞いたことがある人もいるはず。

一方で、有酸素運動で活性化するのはAMPKという別のシグナル。

このAMPKはマウス実験などでmTORを抑制する働きがあることが知られている。(R

AMPKの活性化と筋肥大に関するマウス研究

すなわち『有酸素運動をすると細胞内でAMPKの活性化が起こる→mTORを阻害=有酸素運動が筋トレを邪魔する!』というロジックが完成します。

筋トレと有酸素運動における細胞シグナル

同時トレーニングのメカニズム②神経適応が逆

また『筋トレと有酸素では神経適応が全く逆!』というのもよく言われる話。

ここで少し解剖学のおさらいをすると、筋肉はモーターユニットという筋繊維の束からできている。(R)

モーターユニットの概念図

ここで大事なのは、このモーターユニットの使い方が”筋トレ/有酸素運動”で対称的なことである。

筋トレのように爆発的な力を出すとき、たくさんのモーターユニットを同時に動かす。

なので爆発的に力は出せるが、すぐに全モーターユニットを使い切ってしまいがち。

だから10回とかで容易にオールアウトします。

一方で、有酸素運動は少ないモーターユニットを代わりばんこで動かしている。

だから生じる力こそ少ないが、誰かが働いているときに休める。

だからこそ長時間運動を続けることができる。

もし歩行(有酸素運動)で10歩歩いたらオールアウトするような出力の仕方をしていたら、ホモ・サピエンスは捕食対象としてとっくに滅ぼされているでしょう。

つまり、神経適応という観点から見たら有酸素運動と筋トレは真逆なのである。

なので神経からしたら『どっちに適応したらいいか分からないよ!』となるのだ。

実際に同時トレーニングで筋トレの神経適応が妨げられた事が報告されています。

2003年の研究(R)

男性27人を対象にした研究で、2つのグループにわけて21週間に及ぶ筋トレをしてもらった。

21週間に及ぶRFD(瞬間的に大きな力を生み出せるのかを示した指標)を調べたところ、下記のような結果に。

実験中のRFD変化

RFDは”ピークの力/ピークに達した時間”で計算される量で、爆発的に力を発揮する力を示します。(R

筋トレをしていると爆発的に力が発揮できるように適応が起こるが、この研究ではそれが阻害されたことが示されている。

他にも”Ⅰ⇔Ⅱ型線維の変換”が逆なので、有酸素運動と筋トレを同時にすると阻害し合う論もあります。(R

筋トレと有酸素運動では筋肉に起こる適応がことごとく逆なので、筋肉はどっちに適応したらわからない状態になる。

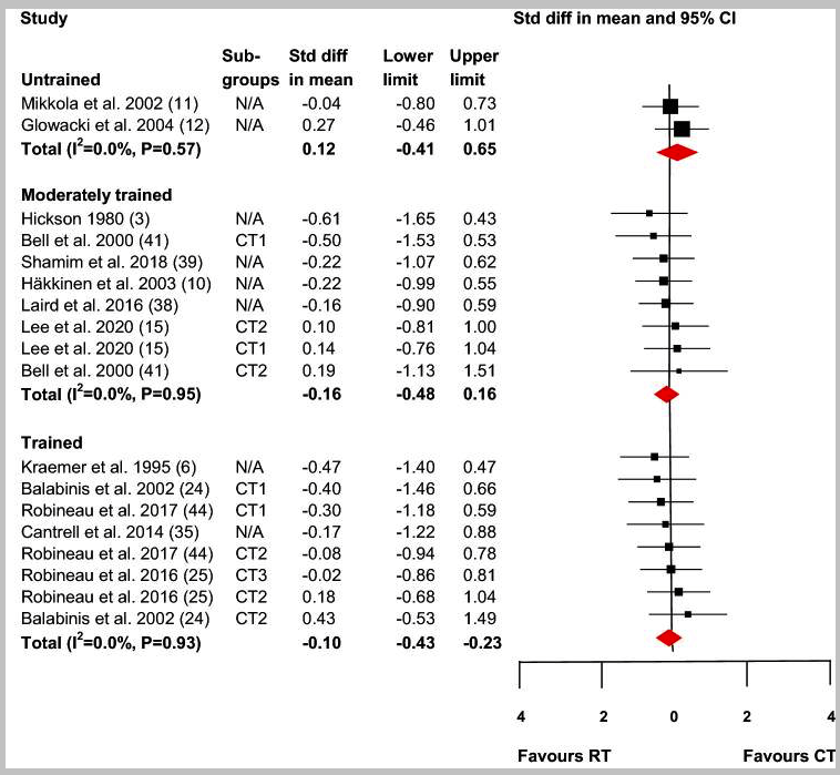
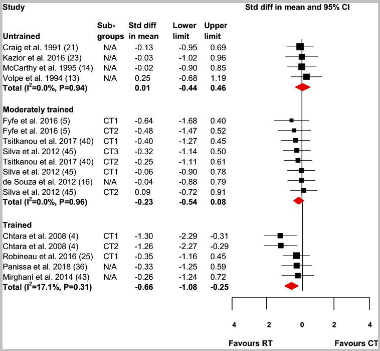
「同時トレーニングの干渉効果は確定的なのか?」を調べた時代

🔒 ここから先は会員限定です

この記事の続きは有料プランへの登録で見ることができます。
詳細な解説と参考文献をぜひチェックしてください。

よかったらシェアしてね!
  • URLをコピーしました!
  • URLをコピーしました!
目次