筋トレ後は急いでタンパク質を摂れ!
トレーニング後のタンパク質摂取は効果がないことが研究で証明されている!
ようじゅ筋トレをしたことがある人なら一度は聞いたことがあるこの話。実際はどうなのでしょうか?
今回は「トレーニング後にタンパク質を摂るべきなのか?」に関する話。
- 2013年のメタ分析「タンパク質の総量が同じなら、トレーニング前後にタンパク質を摂っても効果はなさげ」
- 「トレーニング後すぐにタンパク質を摂れ!」の元となったMPS研究はなぜ現実世界と食い違うのか?
- にもかかわらず」トレーニング直後のタンパク質摂取」をしてもいい理由



今回もメタ分析による結果を見た後に、なぜ「トレーニング後すぐにタンパク質を摂れ!」という理論が生まれたのかを見ていきます
2013年のメタ分析「トレーニング前後のタンパク質摂取は筋肥大に効果なし」



この分野に関しては超有名なメタ分析があるので先にそちらを紹介してしまいます
「トレーニング前後のタンパク質摂取は筋肥大に有利なのか?」を調べた研究で、以下のグループを調べた研究23件を抜き出した。
- トレーニング前後1時間以内にタンパク(または必須アミノ酸)を摂取したグループ
- 少なくともトレーニング前後2時間はタンパク質を摂取していないグループ
実際の筋肥大を測定した研究をメタ分析にかけたところ、得られた結果は主に2つ。
結論①「筋トレの摂取タイミングは早い方が効果的だった」
まず結果の一つ目は、トレーニング前後にタンパク質を摂ったほうが筋肥大に有利だったというもの。



各研究の効果量は以下のとおりです
一番下にある全体(overall)の結果は0を超える線分になっており、右に寄っている。
つまりトレーニング前後にタンパク質を摂取したほうが筋肥大に有利だったのだ。



そしてこの研究では「タンパク質の摂取タイミング以外にもどんな要素が筋肥大を予測する要素か?」も求められています
その結果、一番筋肥大に効いてくる要素は「総タンパク質量」だということが判明。
そこで研究者は総タンパク質量を調整してメタ分析をし直すことにした。



介入群はトレーニング前後にプロテインを渡されていたので、介入群のほうが総タンパク質量が多い傾向にありました
意図的に総タンパク質量を揃えていない研究が多く、このままでは得られた結果が「トレーニング前後のタンパク質補給」によるものなのか「総タンパク質量の増加」によるものなのかが不明。
そこで研究者は各研究における総タンパク質量を調整して解析し直したのだ。
結論②「タンパク質の総摂取量で調整すると効果はなくなった」



実際に総たんぱく質量を調整した結果は以下のようになりました
トレ直後のタンパク質摂取による効果は打ち消され、全体を表す一番下の線分は0をまたぐ結果になっている。
いわゆる「トレーニング前後のタンパク質摂取は金肥大を促進しなかった」と結論づけられる結果になった。
これらの結果から「(総タンパク質量が同じなら)トレーニング前後にタンパク質を摂ろうと筋肥大しない」と言われるようになった。



このメタ分析に関しては後半で各研究をもう少し詳しく見てみます
タンパク質の摂取理論”MPS研究”
今でこそ2013年のメタ分析によって「トレーニング前後のタンパク質摂取は筋肥大効果がない」と言われるようになった。
しかし研究者によっては「2013年のメタ分析が出てくるまでトレーニング前後におけるタンパク質摂取の有効性を疑うものは誰もいなかった」という人もいるくらい効果的な戦略だと信じられていた。



ここからはなぜそこまでトレーニング前後のタンパク質摂取が重要視されるようになったのかを見てみましょう
筋肉は”合成”と”分解”を繰り返している



ここで鍵となるのがMPS(筋合成)とMPB(筋分解)を調べた研究たちです
筋肉組織というのは日々、ターンオーバーが起こり作り替えられている。
例え変化が見えないように思える筋繊維でも、常に合成と分解が起こっているのだ。
筋タンパク質の合成をMPS、筋タンパク質の分解をMPBと呼び、これらのバランスで筋肉が増減する。



MPSが優位なベタ塗りの部分は筋肉が作られており、MPBが優位なドットの部分は筋肉が分解されています
このMPSとMPBにはいくつかの特徴があり、その特徴をもとに筋合成を最大化すべく生まれたのが「筋トレ後すぐにタンパク質を摂れ!」理論になる。
急いでタンパク質を摂取しないと筋肉が分解してしまう!?
特徴①筋トレでMPSもMPBも亢進する
まず第一の特徴として、筋トレをするとMPSもMPBも亢進する(R)
結果として筋トレによって多少は同化に傾くが、MPBも大きいので依然としてタンパク質収支はマイナスになる。



そして筋トレ後24-48時間経った状態でもタンパク質収支がマイナスのままになります(R)
特徴②タンパク質を摂ると筋合成が急激にプラスに転じる
しかしこの結果はあくまでずっと食事を摂らなかった場合の話。
タンパク質の摂取によってアミノ酸が利用可能になると、筋合成は急激にプラスに転じる。(R)



食事でもプラスになるタンパク質収支ですが、筋トレと組み合わせると爆発的にプラスに転じます
特徴③トレーニング後のタンパク質摂取による同化刺激は時間制限がある
そしてもう一つの特徴が、筋トレ後すぐにタンパク質を摂取した方がMPSが刺激されるという特徴。



いわゆる「同化を刺激できる時間帯=アナボリックウィンドウ(anabolic window)」です
アナボリックウィンドウの存在を証明した研究としてよく引き合いに出されるのが2001年の研究。
「タンパク質の摂取時間による違い」を調べた研究で、被験者となったのは男女10人。
- タンパク質10g、炭水化物8g、脂質3gをトレーニング直後に摂取
- タンパク質10g、炭水化物8g、脂質3gをトレーニング3時間後に摂取



筋合成を測定したところ、筋トレ後すぐにタンパク質を摂取したグループだけが同化に傾きました





この特徴によって「筋トレ後数時間以内のアナボリックウィンドウでタンパク質を摂取しないと筋肉の同化を促進できない!」と言われるようになります
結論:トレーニングは急いでタンパク質を摂取して筋合成をプラスにすべし!
これらの特徴をあわせて主張されるのが「トレーニング後は急いでタンパク質を摂取しろ!」というもの。
トレーニング後すぐにタンパク質を取れば筋肉は同化に大きく傾く。
むしろ筋トレ後にタンパク質を取らないとずっと筋合成はマイナスのままなので、急いでタンパク質を補給して同化に転じさせなければいけないとなるのだ。



MPSの研究を前提にした場合、トレーニング直後はタンパク質を急いで摂るのが合理的な選択肢になります
「なぜMPS研究と現実は違うのか?」その①



ところがどっこい、先ほどのメタ分析で見たとおりMPS研究は実際の筋肥大と食い違っていました…一体なぜ
被験者が絶食状態という制限
まずよく指摘されるのが、これらの研究は被験者が一晩絶食した状態で筋トレをしている点。
絶食状態で筋トレをして、その後タンパク質を摂らなければずっと筋合成はマイナスになる。



しかし現実のトレーニーで絶食状態で筋トレをする人はほとんどいません。この点がMPS研究と現実で設定が違う点です
実際に多くのトレーニーは、筋トレの前にランチだったり何かしらの食事を摂っていると思われる。
この場合、筋トレ直後にタンパク質を摂取するメリットが無いことを示唆した研究がMPS研究でも存在する。
- 2001年「運動直前にEAAを摂取したほうが運動直後にたんぱく質を摂取するより正味のたんぱく質合成がプラス」(R)
- 2007年「たんぱく質の摂取によりアミノ酸バランスはプラスになり、運動直前と運動直後で変わらなかった」(R)



トレ前にタンパク質をとっていれば、普通に筋トレ後も筋合成は同化に傾いたままです
そもそもアナボリックウィンドウの存在が怪しい問題
そして次の点が、そもそもMPS研究でもアナボリックウィンドウが存在するかは怪しくなっている点。



この分野でも相反する研究があるうえに、仮にアナボリックウィンドウが存在するとしても何時間までなのかは不明です
例えば2000年の「運動1時間後vs3時間後で正味のたんぱく質を比較した」研究では、1時間後と3時間後で同じくらい同化に傾いたことが報告されている。(R)


こちらの研究では打って変わって、1時間後の摂取だろうと3時間後の摂取だろうと筋合成のプラス度合いは変わらなかった。



研究あるあるで、このMPS研究に関しても相反する結果が存在しています
MPS研究は結論がはっきりしないうえに、そもそも現実世界と設定が違うという話があるのだ。
そもそもMPS=筋肉が作られているとは限らない
そして最近になって、そもそもMPSは筋肥大ではなく他の指標を見ていたのでは?という説も浮上している。
そもそもMPSはどうやって計算されているのか問題



この問題に関して理解するためには、そもそもMPSはどのように計算されてるのか?を知る必要があります
MPSの計算方法はいくつか存在するが、一例として2001年の研究を参考にしてみよう。(R)
- MPS = 取り込んだフェニルアラニン量 – Δ細胞内のフェニルアラニン量
- Δ細胞内のフェニルアラニン量=C細胞(後-前)×筋体積×0.6
※Cはフェニルアラニン濃度
※正味のアミノ酸収支 = (C動 – C静)×血流量





一言でざっくりといえば「取り込んだけど細胞内に見当たらないフェニルアラニン=筋肉の合成につかわれているはず」ということになります
フェニルアラニンは筋細胞内で他の物質に代謝されることはない。
よって取り込んだのに細胞内に存在しないフェニルアラニンはタンパク質になったはずという推測ができるのだ。



しかし、実際にタンパク質が作れていても筋肥大につながるとは限らないのが面白いところです
筋トレ直後のMPS上昇は筋肉を修復しているだけだった問題



というのも今まで見ていた筋トレ後のMPS上昇は筋肉を修復しているだけで新しい筋肉を作っているわけではなかった説が浮上しています
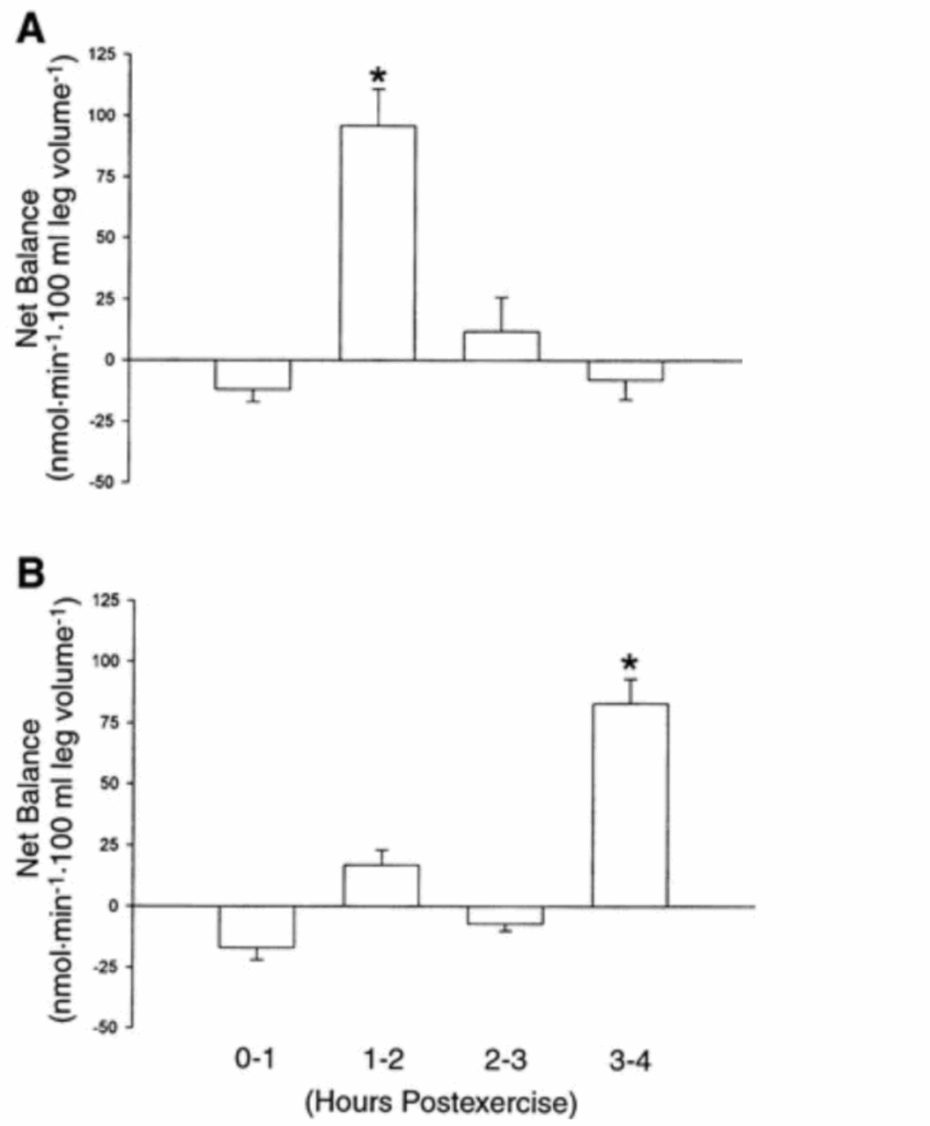
このことを示したのが2016年の「筋損傷が起きていないときのMPSのみが筋肥大を予測する」というタイトルの論文。
10人の男性被験者を対象に、10週間に及ぶ脚トレ(レッグプレスとレッグエクステンション)を行ってもらった研究。筋損傷やMPS、筋肥大などを測定した。
実際の結果は以下のとおり。
- 筋損傷(クレアチンキナーゼの値)は1週目のトレーニング直後にMAXで、3週目には1週目の50%、10週目には1週目の25%にまで減った。
- 合計MPS量は1週目のトレーニング後が最も高く、この値は筋肥大と相関しなかった
- 3週目と10週目の合計MPS量は1週目より小さく、筋肥大は”3週目と10週目の合計MPS量”とかなり強い相関を示した



ごちゃごちゃ結果を書いたが、一言で言えば論文のタイトル通り「筋損傷が起きているときのMPSは筋肥大を予測しなかった」ということです
もっと言ってしまえば、筋トレ後の急激なMPSは筋肉を修復していただけで新しく筋肉をつくているわけではなかったのだ。



このことは筋断面積の結果とMPSの結果を見てみても直感的に理解できます
上の筋断面積のグラフを見てみると、筋断面積が上昇しているのは実験10週間後。
一方で下のグラフを見ると、MPSが一番爆増しているのは1週目で3週目と10週目は明らかに低い。



筋肥大が観測されるまで5-6週間ほどかかりますが、MPSが最も上がるのは初期…もしMPS=筋肥大だとしたら明らかに矛盾します
MPSは筋肉の修復を見ているだけだった
なぜ筋トレ初期でMPSが爆増し、筋トレ後期ではMPSが減少するのか。
それは「筋トレ後のMPS=筋損傷の修復を見ていただけ」と解釈すると説明がつく。



筋トレは続けていると筋損傷が少なくなる”repeated bout effect”と呼ばれる現象があります(R)
つまるところ筋肉の損傷が激しい初期はMPSが高まり、筋肉の損傷が少ない後期はMPSが低くなった。
そして筋トレ後のMPSというのは爆発的に増えるが筋肉を修復しているだけで新しく作っているわけではなかったので筋肥大とは関係なかったのだ。



そして筋損傷がないときのMPSが重要というのは”リボソーム”を中心として理論が構築されてきています
MPS理論の新理論「リボソームバイオジェネシス」



最近出てきたホットな理論が「リボソームバイオジェネシス」です
リボソームというのは細胞小器官のひとつで、ざっくりと言ってしまえばタンパク質を作る”翻訳”を行う場所のこと。
このリボソームだが、2つの観点からタンパク質を製造する能力が決定される。
- 翻訳効率:一つあたりのリボソームが作るタンパク質量
- 翻訳容量:リボソームの総量



どちらが増えたとしても「タンパク質の合成=MPS」は上がります
この翻訳効率だが、筋トレ後にアミノ酸を摂取すると爆発的に向上すると考えられている。
傷ついた筋肉を修復しようとして、せっせとタンパク質を作り始めるのだ。



今までの研究で捉えていたのはこの”翻訳効率”の向上です
一方で、筋トレを長く続けてくるとリボソームの量そのものが増えてくる。
いわゆる”翻訳容量”が向上することによって、普段のMPS量が増加する。



筋トレ直後のMPSは傷ついた組織を修復するための翻訳効率上昇を捉えているだけで、このMPSが高くても筋肥大には関係しません
むしろ重要なのはリボソームの総量が増えることで、実際に今までのMPSモデルは不完全で「筋損傷がないときのMPSに注目したモデル」が提唱されている。
「MPSが高い=筋肉が作られている」と推測はできても、それが筋損傷の修復が行われているか新しい筋組織の生成が行われているかはわからないのだ。



他にも筋組織ではなく”ミトコンドリア”を作るのに使われている説が浮上する場合もあります
例えばアナボリックウィンドウの存在を示したとして紹介した2001年の研究だが、これは実は筋トレではなく中強度かつ長時間の有酸素運動。
ここで捉えたMPSの上昇は「ミトコンドリアの増加によるなのでは?」と後の論文で指摘されている(R)。



「MPSが高い=筋肥大」はもはや成り立たない理論になっており、実際の筋肥大を測定した研究を見るしか無いのが現状です
2013年のメタ分析:個別研究を見てみる



実際に筋肥大を測定した研究を改めて見てみましょう。トレーニング経験と効果の有無で色分けしました
- 薄い赤=筋トレ未経験者かつ同様の筋肥大
- 濃い赤=筋トレ未経験者かつトレーニング前後が有利
- 薄い黄色=筋トレ経験者かつ同様の筋肥大
- 濃い黄色=筋トレ経験者かつトレーニング前後が有利





この結果を見てわかること、それはトレーニング前後にタンパク質を摂取することにメリットこそあれデメリットはないということです
トレーニング後に何がなんでもタンパク質を摂取しようと躍起になる必要はない。
とはいえ、どうせプロテインを摂るならトレーニング後に摂ったらいいのでは?というのが正直な感想。
実際に自分もタンパク質の総量を上げるためにプロテインを摂ってるので、どうせならとトレーニング後のタイミングで補給しています
まとめ
今回は「トレーニング後はタンパク質を摂取すべきなのか?」についてまとめた。
- 2013年のメタ分析では「総タンパク質量が同じなら、筋肥大効果は同じ」と結論づけられている
- 「トレーニング後すぐにタンパク質を摂れ!」の根拠となっているMPS研究は現実と乖離している
- とはいえ、トレーニング後にタンパク質を取ることはメリットこそあれデメリットはなさげ



トレーニング後にプロテインを飲むくらいなら大した労力でもない。もしタンパク質の総量を稼ぐためにプロテインを飲んでいるなら、ついでに筋トレ後に飲んだらいいのではないでしょうか?









