「筋トレは限界までやることが重要!」
「筋トレは追い込む必要がない!」
筋トレは追い込みが必要という時代から、追い込み不要の時代になってきているが、これらの主張はどちらも100%間違っているわけではない。
最後の数レップが重要なのも事実だし、かといって120%限界ギリギリまで追い込なければ筋肉が育たないかというと、そういうわけでもない。
ちなみに、追い込みとは”もうバーが持ち上がらない限界ギリギリまでトレーニングすること”を指し、英語では”(Training to)Failure”とか呼ばれている。
今回の記事は、そんな「筋トレの追い込み」に関する話。
筋トレの追い込みが必要だと言われる理由から追い込み不要論、筋肥大とって追い込みより重要なものは何か、というトピックを論文をもとに紹介していこう。
レップ数が増えるほど筋肉への刺激も増える
まず、そもそもなぜ筋トレの追い込みが重要だと言われるのか?
それは、筋肉がモーターユニットというもので構築されていることに由来する。
筋肉というのは、いくつかの筋繊維の束(=モーターユニット)が重なることで、大きな束になり力を発揮している。

ダンベルを持ち上げるとき、これらのモーターユニットが全て使われるわけではない。
あるモーターユニットが使われる一方、別のモーターユニットは休んでいる。
つまり、代わりばんこでモーターユニットは収縮している。
というのも、仮に一度にモーターユニット全てを動かしてしまうと、全てのモーターユニットが疲弊してしまい、動けなくなる。
その場で動けなくなったとしても、ジムであればむしろめちゃくちゃ筋トレを頑張っている自分に誇らしい気持ちになるかもしれないが、原始時代であれば捕食者に食べられて即お陀仏。
そんな失態を犯さないように、筋肉はモーターユニットの全てが疲労しないように進化しているのである。
そして、筋トレで限界まで追い込むとは、筋肉のモーターユニットを全部使い切ることを意味する。
(だからこそ、もうバーが上がらなくなる。)
それは全ての筋肉に刺激が行き渡ることを意味する。
実際に、筋トレは”もうこれ以上できない”という限界点に近づくほど、筋肉の刺激が増える。
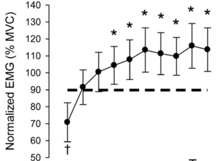
例えば、2012年に南デンマーク大学が行った研究なんかがいい例。(R)
被験者となったのは女性15人で、彼女らに肩トレのラテラルレイズをしてもらった。
この際、筋肉への刺激を測定したところ、以下のような結果に。

横軸はレップ数を表している。
左が1レップ目で、一番右が最後のレップ、すなわち限界点になる。
1レップ目より2レップ目、2レップ目より3レップ目のほうが刺激が大きく、限界点に近づくほど筋肉の刺激が大きくなっていることがわかる。
限界点に近づくほど、筋肉がより使われて刺激も大きくなる。
実際に”ある程度は”限界点までトレーニングすることが重要であるのは間違いないのである。
しかし、実際は”追い込むかどうか”は重要ではなかった
しかし、実際に”限界まで追い込む”と”ある程度まで追い込む”では、どの程度の違いが生まれるのだろうか?
また、理論的には”追い込む”のほうが正解な気がするが、実際にヒトで実験した場合に理論通りになるか、は別の話である。
でいうことで、筋トレの追い込むについて調べたメタ分析をいくつか見てみよう。
- 2021年のビクトリア大学によるメタ分析では、限界点までトレーニングするかどうかは、筋力UPにも筋肥大にも影響がなかった(R)
- 2021年のリオ・グランデ・ド・スール連邦大学によるメタ分析では、筋力UPには追い込まないほうが、筋肥大には追い込むほうがやや有利だった。しかし、ボリュームを揃えたところ差は無くなった。(R)
まず、結果が一貫していないが、筋肥大にとって追い込むことは、影響が無いか、ややプラスの効果をもたらすことになる。
そして、筋力にとって追い込むことは、影響が無いか、ややマイナスの効果をもたらすことになる。
そして、これらの影響は、筋トレのボリュームを揃えてしまうと消えてしまうのである。
(ボリュームについて詳しく知りたい方は以下の記事を参照。)
つまるところ、筋トレを追い込むことで、ボリュームが増えて筋肥大することになる。限界まで追い込めばレップ数が増えるのだから、ボリュームが増えるのは当然である。
筋トレで追い込むことには、デメリットもある
と言いつつも、実は筋トレを限界まで追い込むことでボリュームが上がるのか?については、かなり疑問視されている。
というのも、筋トレを追い込めば1セット目はもちろん多くのレップ数を重ねることができるが、そのぶん次のセットは疲労してレップ数が下がる。
なので、トータルのレップ数で見たら、結局ボリュームが変わらないのである。
実際に、2021年の研究では、女性12人ベンチプレスにベンチプレスを4セット行ってもらったところ、筋トレを追い込むかどうかでボリュームは変わらなかったことが報告されている。(R)
筋トレを追い込んだグループと追い込まなかったグループの実際のレップ数は以下の通り。
| 追い込んだグループ | 追い込まなかったグループ | |
| 1セット目 | 11.58回 | 7.58回 |
| 2セット目 | 6.33回 | 6.25回 |
| 3セット目 | 4.75回 | 5.25回 |
| 4セット目 | 3.58回 | 5.41回 |
合計のボリュームは”26回vs25回”で差はなく、追い込んだグループは最初こそ調子がいいが、やはりセット数を重ねるほど疲労でレップ数が落ちてしまう。
ちなみに、この研究では、セット終わりに筋トレの主観的辛さも測定されている。
その結果は、筋トレを追い込んだグループのほうが主観的な辛さが高いというもの。
つまり、筋トレで追い込んでも、ボリュームは変わらずにただ筋トレが辛くなる可能性がある。
そして、筋トレで限界まで追いこむことは、もう一つ大きなデメリットがある。
それは、筋肉へのダメージが大きくなるが故に、回復までの時間が長くなること。
というのも、筋肉へのダメージは大きければいいという訳ではない。
ダメージが大きく回復時間が長くなると、次のトレーニングまでに筋肉が回復し切らずパフォーマンスが落ちるか、週に1回しか筋トレができない、という事態になりかねない。
実際に、筋トレ後の回復時間を調べた2017年のムルシア大学による研究では、追い込んだ場合は、回復のために必要な時間が追い込まない場合に比べ、24~48時間も増えると報告されている。(R)
今のところ、筋トレは週2回以上はしたほうがいいという結論になっている。(R)
筋トレを追い込んで回復時間を長く取り週1しかトレーニングできないよりは、筋トレをある程度まで追い込んで回復時間を短くし、週2回以上トレーニングしたほうがいいのである。
何より重要なのはボリューム
筋トレで限界まで追いこむかどうかより、ボリュームをいかに上げていくか、のほうが筋肥大には重要になってくる。
そういった意味でも、筋トレで限界まで追いこむよりは、ある程度まで追い込んで週の頻度を増やした方がいい。ぜひお試しあれ。

