ダイエットで停滞期にぶつかった
ダイエットで低下した代謝を戻したい!
ようじゅそんなときはダイエットを10日間休んでみましょう
ダイエットをしていれば必ず一度はぶつかる停滞期。
この停滞期はダイエットによるホルモンバランスの乱れが原因になる。
今回は論文から「ホルモンバランスの乱れを改善して代謝を戻す方法」をご紹介。
- ダイエットによる代謝の低下は甲状腺ホルモンが原因
- ダイエット開始から10日もすると甲状腺ホルモンの値が低下し代謝が下がる
- 10日間にわたって維持カロリーにすると甲状腺ホルモンも代謝も完全回復する



世間でよく行われる1日だけのチートデイよりも効果があることが研究で示されています
代謝の詳しい戻し方を知りたいヒトは「チートデイ?リフィード?効率的に痩せる『代謝を戻す方法』の科学」もご覧ください。
ダイエットをすることでホルモンバランスが乱れて代謝が下がる
ダイエットをするとホルモンバランスが乱れます!
ダイエットをすると代謝が低下する!



巷でよく聞く話だがホルモンバランスの乱れも代謝の低下も本当のこと。実際にダイエットで代謝が低下することがわかっています
このホルモンバランスの乱れによる代謝の低下だが、主に甲状腺ホルモンという体の代謝を調整するホルモンによる影響が大きい。
甲状腺ホルモンは喉元にある甲状腺から出されるホルモン。脈拍や体温など体の消費エネルギーを調整する働きをもつ



ダイエットで甲状腺ホルモンが低下し代謝が下がることは実際に研究で確かめられています



代謝が下がることはわかった。それで代謝を戻す方法はあるわけ?



もちろん代謝を戻す方法もあります。実際にダイエットによる代謝低下とそれのマイナス効果を打ち消した研究を紹介します
10日間の維持カロリーが甲状腺ホルモンと代謝を完全復活させた



代謝を戻したいときは10日間にわたって維持カロリーにしましょう
長期間にわたって維持カロリーに戻すことで、甲状腺ホルモンと代謝の低下を回復させられることが判明している。
このことを示したのが2020年のアラバマ大学の研究。(R)
被験者となったのは肥満体型の男女24人で、被験者に1日800kcalの低カロリー食を標準体型になるまで続けてもらったもの。



この研究で被験者は平均して15.4週間で12.9kgの大減量に成功しています
そして実験終了後、被験者には維持カロリーの食事で過ごしてもらった。
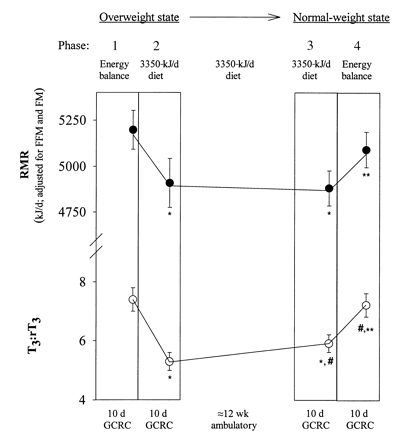
この実験では4つの時期に甲状腺ホルモンと代謝が測定されている。
- 実験開始時
- 実験開始から10日後
- 実験終了時
- 実験終了から10日後
そして実際に測定された甲状腺ホルモンと基礎代謝をグラフにしたものが下記。





上の線グラフが代謝、下の線グラフが甲状腺ホルモンです。どちらも傾向は同じことがわかります
甲状腺ホルモンも代謝も実験開始から10日後には数値が低下しており、実験終了時までずっと低下したまま。
しかしダイエット終了後、維持カロリーに戻して10日間もすると甲状腺ホルモンも代謝もすっかり元通りになっていることがわかる。
- 低カロリーにしてから10日もすると甲状腺ホルモンの値も代謝も下がる
- 維持カロリーに戻してから10日もすると甲状腺ホルモンも代謝も完全に回復する
つまり甲状腺ホルモンの乱れを正して代謝を回復させたければ10日間の維持カロリーにすればいいのだ。



えっ…代謝が落ちたときはチートデイじゃないの?



実は1日爆食いするチートデイよりも長期間維持カロリーにするほうが効果的です
「”週1で好き放題食べるチートデイ”は代謝は上がらないことが論文で判明」で紹介した通り、1日爆食いするチートデイでは代謝が戻らない可能性が高い。
代謝を戻すためには食べる量だけではなく、実施する期間も大事なのだ。
- 代謝は食事の”量”と”期間”で決まる
- 1日だけ爆食いしたくらいでは代謝は戻らない
- 数週間にわたる維持カロリーでは代謝が回復する



体に低代謝モードをやめさせるには、しばらく維持カロリーで食べる必要がありま
代謝を戻すには1日だけでは期間が不足している。
確実に代謝を戻したければ10日間くらいは維持カロリーに戻すほうが効果的なのだ。
まとめ
今回は「10日間の維持カロリーにすれば代謝が戻る」という研究を紹介した。
- ダイエット開始から10日もすれば甲状腺ホルモンの値が低下し代謝が下がる
- 10日間の維持カロリーで低下した甲状腺ホルモンと代謝を回復がする
代謝が落ちなくなってきたら1日爆食いするチートデイと考える人もいるかもしれないが、実際はチートデイでは代謝が戻らない可能性が高い。
本当に代謝を戻したければ、数日間にわたって維持カロリーに戻すほうが効果的。









