筋肥大したければ食事は1日6食摂れ!
16時間断食をしてみたいけど、筋肉が落ちそう…
ようじゅ今回は「筋肥大に有利な食事回数×時間」について解説します
- 「1日6食摂れ!」の理論的根拠となったMPS研究
- 1日6食は筋合成はMAX刺激できるが、筋肥大につながるとは限らない問題
- 1日3食vs1日6食、実際の筋肥大は変わらなかった
- 筋トレ×16時間断食に関する研究を集めたメタ分析
- 1日2食・5:2ダイエット・1日1食はどうなのか?



今回はあくまで筋肥大の話でダイエットは割愛。ダイエットに関しては今後別でまとめます
そもそもなぜ食事を細かく摂るのが筋肥大に有利とされているのか
筋肉のターンオーバーを決めるMPSとMPB
1日6食理論は『Muscle Protein Synthesis(=MPS)』の研究からもたらされています。
MPSとは日本語に直訳すると”筋タンパク合成”。
このMPSと対をなすのが”筋タンパク分解”を意味する『Muscle Protein Breakdown(=MPB)』(R)
MPSが優位なら筋合成、MPBが優位なら筋分解となります
このMPSを測定した研究をもとに構築されたのが、何を隠そう”1日6食理論”です
実際にこのMPSに関して、どのような特徴がわかっているのかを見ていこう。
MPSの特徴①タンパク質がMPS刺激にメチャクチャ重要
1つ目の特徴として、MPSは3大栄養素の中でも特にタンパク質に影響を受ける。
2006年のテキサス大学による論文が分かりやすいので引用しよう。(R)
平常時はエクササイズ単体では筋合成はマイナスに傾いているが、アミノ酸を摂取すると筋合成はプラスに傾く。
そして1番筋合成がプラスに傾くのが筋トレ+アミノ酸摂取の組み合わせ。
筋トレ後のタンパク質摂取が重視されるのは、こういった研究があるためです
MPSの特徴②タンパク質によるMPS刺激は”0.24g/体重”で頭打ちになる
2つ目の特徴として、タンパク質摂取によるMPS刺激は一定量で頭打ちになる。
ある一定量まではタンパク質を増やすほどMPSが刺激されるが、その量にも限度があるのだ。
「タンパク質0g,5g,10g,20g,40gでMPS刺激は変わるか?」を調べた研究。
被験者となったのは男性6人で、レッグプレス後4時間にわたるタンパク質合成を調べた。
各タンパク質量に対する筋合成は以下のようになりました
20gまではタンパク質量に依存してタンパク質合成も順調に増えているが、それ以上は40gという大量のタンパク質を摂取しても結果は変わらない。
つまるところタンパク質を摂るほどMPSは刺激されるが、その効果も徐々に先細りになる。
このことは他の研究でも確かめられている。
0-40gのタンパク質を摂取させたのちに食後3-4時間のMPSを測定した6つの測定研究をまとめたもの。
タンパク質量がMPSに与える影響を調べた。
この研究では若年層と高齢者で分けられており、実際の結果は以下のようになりました。


どちらの場合でもタンパク質量を増やすことによる筋合成UP効果には限界があり、例えば若年層であれば「MPSは”0.24g/体重”のタンパク質で頭打ちになる!」と結論づけられている。
体重75kgの人ならば18gのタンパク質に相当し、これは先ほどの研究ともおおむね一致する。
筋トレ民はタンパク質を1食20gは摂ろうと躍起になっている人が多いですが、こういった研究が根拠になっています
MPSの特徴③食事後数時間は食事に反応しない”不応期”が存在する
最後の特徴は、一度刺激されたMPSはその後しばらく反応しない”不応期”が存在すること。
男性8人を対象にした研究。
48gの高タンパク質摂取後の血中アミノ酸濃度とMPSを測定した。
この研究では依然として血中必須アミノ酸濃度が高いにも関わらず、タンパク質摂取後180分後にMPSがベースラインに戻ったことが報告されています




そしてMPSがベースラインに戻ったにも関わらず、同化を促進するmTOR関連のシグナルは上昇し続けたままだったことが報告されている。
必須アミノ酸濃度が利用可能であり、細胞シグナルも上昇しているのに筋肉が合成されないのは”muscle-full effect”と呼ばれます(R)
この間に追加でタンパク質を摂取して血中アミノ酸濃度を上げても、MPSを刺激することができない。
つまりMPSは一度刺激するとその後数時間は刺激できなくなるのだ。
結論:タンパク質はこまめに摂取せよ!?
この3つの特徴を考えたとき、MPSを一番刺激できそうなのは「数時間ごとに20gくらいのタンパク質を何回も摂る」という戦略です
そしてこの戦略は確かにMPSを多く刺激できることが2013年の有名研究で実証される。
24人の男性トレーニーを対象にした研究で、タンパク質80gの摂取法を3つに分けた。
- 大容量グループ:40gのタンパク質を6時間ごとに2回摂取
- 中間グループ :20gのタンパク質を3時間ごとに4回摂取
- 細切れグループ:10gのタンパク質を1.5時間ごとに8回摂取
そして、筋トレ後12時間にわたるMPSを測定した結果がこちら。


20gのタンパク質を複数回に摂取したグループはどの時間帯でもMPSが大きく、12時間全体で見た場合も大量摂取や超細切れ摂取よりもMPS量が大きくなっている。
20gのタンパク質を摂取するとMPSの合成量が最大化できそうなことが晴れて証明されたので、ここから1日数食がもてはやされるようになります
しかしMPSは筋肥大を予測できない問題
ところがどっこい、何となく信じられていた「MPSが大きい=筋肥大もたくさんする」という前提が最近になって崩れ始めています
このことで有名なのが2016年の「筋損傷が起きていないときのMPSのみが筋肥大を予測する」というタイトルの研究。
10人の男性被験者を対象に、10週間に及ぶ脚トレ(レッグプレスとレッグエクステンション)を行ってもらった研究。筋損傷やMPS、筋肥大などを測定した。
実際にこの研究で測定されたタンパク質合成と筋断面積の結果がこちら。
MPSが急上昇しているのは1週目ですが、筋断面積が大きく増えているのは10週目…MPS=筋肥大と考えると明らかに矛盾する結果になっています
そこで現在考えられているのは、筋トレ後のMPSのスパイクは筋修復を見ているとする理論。
筋トレによる筋損傷はトレーニングを続けていくと減る(いわゆる”repeated bout effect”)ので、MPSの急上昇は筋修復を見ていたとすると辻褄が合うのだ。
最近ではMPSの急上昇よりも”平常時のMPS”のほうが大事だとして、新たな筋肥大モデルが提唱されています(R)
筋タンパク質合成=筋肥大とは限らず、単に既存の組織が修復されているだけということも全然あります
「MPS=筋肥大」という前提がそもそも成り立たないので、MPSの理論研究をもとに構築された1日6食理論も正しいとは限らないのだ。
実際に筋肥大を測定した研究はどうなのか?
それではどうするべきなのか…理論的な正しさを議論するのではなく、実際に筋肥大を測定した研究を見てみましょう
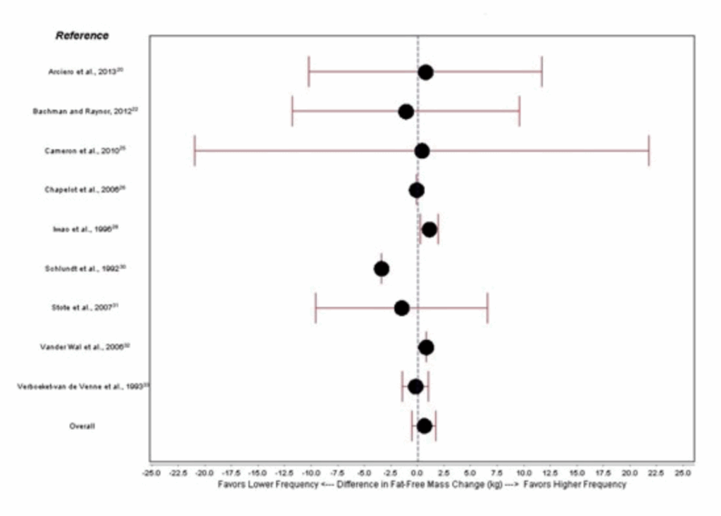
2015年のメタ分析「食事回数が多いほうが筋肉の分解を防げる?」
食事回数が体組成の変化に与える影響を調べたメタ分析。抜き出された研究は15件。
実際に抜き出された研究は下記のとおりです
| 研究 | 被験者 | グループ | カロリー | タンパク質 | 筋肉 | Time | Group×Time | 期間 | 筋トレ |
|---|---|---|---|---|---|---|---|---|---|
| 2013年 | 若年×肥満 | 6食:維持カロリー4週間→マイナスカロリー4週間 | 1541kcal | 1.6g/体重 | 0.6kg | ↑ | ↑ | 4週間 | × |
| 3食:維持カロリー4週間→マイナスカロリー4週間 | 1559kcal | 1.6g/体重 | -0.9kg | ↓ | |||||
| 1984年 | 肥満 | 6食 | – | – | – | 2週間 | × | ||
| 3食 | – | – | |||||||
| 2012年 | 高齢×肥満 | 2-3時間ごとに少なくとも100kcalを摂取 | 1280kcal | 54.7g | -2.0kg | → | – | 26週間 | ? |
| 1日3食 | 1111kcal | 66.3g | -0.9kg | → | |||||
| 2008年 | 若年×肥満 | 6食 | – | – | – | – | – | 52週間 | × |
| 3食 | – | – | – | – | |||||
| 1966年 | 肥満 | 9食 | – | – | – | – | – | 18日 | × |
| 1食 | – | – | – | – | |||||
| 2010年 | 若年×肥満 | 6食 | – | – | -1.8kg | ↓ | → | 8週間 | × |
| 3食 | – | – | -1.5kg | ↓ | |||||
| 2006年 | 若年×普通体型 | 3食→4食に | ↑ | 1.4g/体重 | – | – | – | 4週間 | × |
| 4食→3食に | ↓ | 1.3g/体重 | – | – | |||||
| 1971年 | 若年×肥満 | 6食 | – | – | – | – | – | 9週間 | × |
| 3食 | – | – | – | – | |||||
| 1996年 | 若年×普通体型 | 6食 | ↑ | 2週間 | ? | ||||
| 2食 | |||||||||
| 2005年 | 若年×肥満 | 5食(間食あり) | – | – | – | – | – | 24週間 | × |
| 2食(間食なし) | – | – | – | – | |||||
| 1992年 | 肥満 | 朝食あり→朝食あり | 1050kcal | 0.8g/体重 | – | – | – | 12週間 | × |
| 朝食なし→朝食あり | 944kcal | 0.8g/体重 | – | – | |||||
| 朝食あり→朝食なし | 1353kcal | 1.0g/体重 | – | – | |||||
| 朝食なし→朝食なし | 1510kcal | 1.1g/体重 | – | – | |||||
| 2007年 | 若年×普通体型 | 3食 | 2429kcal | 1.3g/体重 | 0.8kg | → (p=0.06) | 8週間 | × | |
| 1食 | 2364kcal | 1.3g/体重 | -0.7kg | ||||||
| 2006年 | 若年×肥満 | 5食 | – | – | – | – | – | 4週間 | × |
| 4食 | – | – | – | – | |||||
| 1993年 | 若年×肥満 | 3-5食(nibbling,朝食&間食あり) | 1018kcal | 0.6g/体重 | -2.0kg | ↓ | → | 4週間 | × |
| 2食(gorging,朝食なし) | 1089kcal | 0.6g/体重 | -1.8kg | → | |||||
| 1971年 | 若年×肥満 | 3食 | → | 5週間 | × | ||||
| 1食 |
食事回数と筋肉の減少量との関係を調べたところ、結果は下記のようになった。


食事回数が増えるほど筋肉の減少量が少なく、特にその効果が顕著なのが食事回数5回以上。
それではやっぱり食事回数が多いほうがいい…と思いきや、まだそうは断定できない理由があります


個別研究を見ると、食事回数は筋肉量に影響を与えていないケースばかり。
そきてこのメタ分析では1996年の研究に結果が引っ張られていることが指摘されており、この研究を除外すると食事回数は筋肉量に影響を与えなかったことが報告されている。
食事回数が筋肉に与える影響はまだまだわからないというのが現状。
そもそもこの研究では、確実に筋トレをしていると言える研究が1件も含まれていない。
ここからは筋トレしている人への影響を調べた研究を見てみましょう
「1日3食と1日6食」を比較した2020年の研究
被験者となったのは大学のボートチームに所属する男性11人で、参加者の体脂肪率は12.4%とアスリート体型。
普段通りのトレーニング(筋トレは週2回)をしてもらい、「1日3食と1日6食で筋トレの効果は変わるのか?」を調べた。期間は8週間。
| 摂取カロリーとPFCバランス | 1日3食 | 1日6食 |
|---|---|---|
| 摂取カロリー(kcal) | 5244 | 5134 |
| タンパク質(g/体重) | 2.7 | 2.6 |
| 炭水化物(g) | 784 | 768 |
| 脂質(g) | 136 | 133 |
参加者は1日5200kcalほどの食事を摂っており、1日+1400kcalのオーバーカロリーになっています
実験開始前後にDXAで体組成を測定したところ、以下のような結果になった。
- どちらのグループも体脂肪は同じくらい増えた!(3食/日:+1.2kg、6食/日:+1.3kg)
- どちらのグループも同じくらい筋肉が増えた!(3食/日:+1.2kg、6食/日:+1.3kg)
- 3人の被験者は1日3食で高い食欲を、4人の被験者は1日6食で高い食欲値を示した!残りの3人はどちらの条件でも同じ食欲値を示した!
理論的には1日6食のほうがうまくいきそうなものだが、実際には1日3食だろうと1日6食だろうと同じだけ筋肥大した。
理論的には1日6回の食事でずっとMPSを刺激し続けることはできるかもしれません。しかし実際の筋肥大への影響は微々たるものでした
16時間断食はどうなのか?問題
ここからは今流行りの16時間断食に話を移しましょう
MPS理論を信じるならば、絶食時間が多い16時間断食は筋肥大に不利だということになる。
それでは実際に筋トレと16時間断食を組み合わせた場合の結果はどうなっているのかを見ていこう。
断食と筋トレの組み合わせはどうなのか?
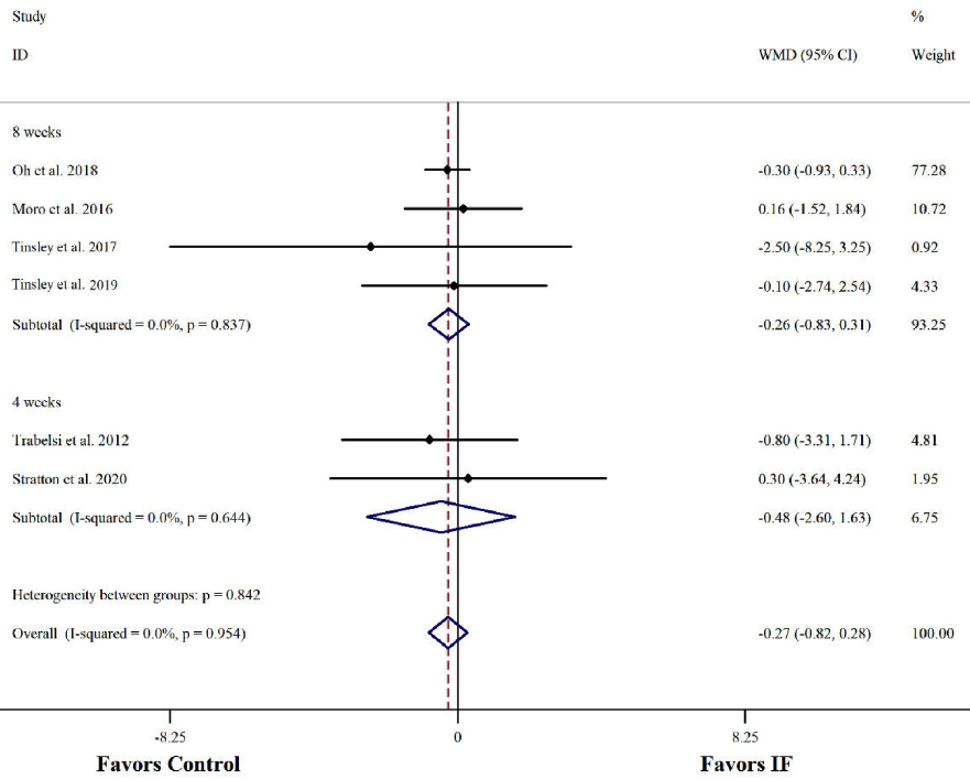
断食(Intermittent Fasting)と筋トレを同時に行った場合の効果を調べたメタ分析。抜き出された研究は8件。
実際に抜き出された研究は以下の8件です
| 研究 | 著者 | 被験者 | グループ | カロリー | タンパク質 | 筋肉量 | Time | Group×Time | 期間 |
|---|---|---|---|---|---|---|---|---|---|
| 2017年 | Tinsley | 筋トレ経験者の男性34名 | 20時間断食(週4→16-24時までの4時間で摂取) | 1844kcal | 0.8g/体重 | -0.2kg | → | → | 8週間 |
| コントロール | 2410kcal | 1.3g/体重 | 2.3kg | → | |||||
| 2013年 | Trabelsi | 男性ボディビルダー16名 | 平均15時間断食(Fasted stateでトレーニング) | 3436kcal | 1.6g/体重 | -0.2kg | → | → | 4週間 |
| 平均15時間断食(Fed stateでトレーニング) | 3744kcal | 1.6g/体重 | 0.3kg | → | |||||
| 2018年 | Oh | 男女45名 | 週3で断食(12-14時に400-500kcal摂取)&筋トレ | – | – | -0.4kg | ↓ | → | 8週間 |
| 週3で断食(12-14時に400-500kcal摂取)のみ | – | – | -0.5kg | → | |||||
| 筋トレのみ | – | – | -0.1kg | → | |||||
| コントロール | – | – | -0.2kg | → | |||||
| 2016年 | Moro | 筋トレ経験者の男性34名 | 16時間断食(13時,16時,20時+トレ後に20gのプロテイン) | 2735kcal | 1.9g/体重 | 0.6kg | → | → | 8週間 |
| コントロール(8時,13時,20時+トレ後に20gのプロテイン) | 3007kcal | 1.9g/体重 | 0.5kg | → | |||||
| 2020年 | Stratton | 筋トレ経験者の男性32名 | 16時間断食(12-20時or13-21時) | 1946kcal | 1.8g/体重 | – | → | → | 4週間 |
| コントロール | 1939kcal | 1.8g/体重 | – | → | |||||
| 2010年 | Tayabi | 男性ウェイトリフター40名 | 断食+筋トレ | – | – | – | – | – | 4週間 |
| 断食のみ | – | – | – | – | |||||
| 筋トレのみ | – | – | – | – | |||||
| コントロール | – | – | – | – | |||||
| 2019年 | Tinsley | 筋トレ経験者の女性40名 | 16時間断食(12-20時に食事) | 1624kcal | 1.6g/体重 | 0.9kg | ↑ | → | 8週間 |
| 16時間断食+3g/dayのHMB | 1489kcal | 1.6g/体重 | 1.2kg | ↑ | |||||
| コントロール | 1570kcal | 1.6g/体重 | 0.9kg | ↑ | |||||
| 2020年 | Hottenrott | 肥満男性68名 | 週2回の12時間断食(男性600kcal,女性400kcal) | – | – | – | – | – | 12週間 |
| コントロール | – | – | – | – |
筋トレと断食の併用が及ぼす効果を示したのが下図です


この図では、左側が断食なしに有利、右側が断食に有利ということを表している。
一番下の全体(Overall)を見ると0をまたいで負でも正でもなく、結論は断食&筋トレの併用は筋肉に負の影響はないと言うものに。



でも若干左側に傾いているような…



これは2017年のTinsleyらの研究が原因です
結果を左側に引っ張っている研究が一つあり、それが2017年のTinsleyらの研究。(R)
この研究は16時間断食よりもさらに摂食時間が短い20時間断食で、なおかつタンパク質量も筋肥大に最適とされている”1.62g/体重”に満たない。
狭すぎない時間幅でタンパク質量をしっかり摂取していれば、16時間断食を取り入れても(少なくとも8週間という時間スパンで)筋肉が落ちることはなさそうです
とはいえ食事回数が少なすぎるのも筋肥大に不利・・・?
それではMPS理論は全く無視していいのかというと、そういうわけでもない。
先ほどの2017年の研究のように、MPS理論に反しすぎることをすると筋肉に不利になる可能性があります
タンパク質を3食均等に配分vsタンパク質を1食に偏らせる
1日3食vs1日6食で筋肥大効果は変わらない…では1日2食まで時間を短くしたらどうでしょう?
被験者となったのは18-26歳の男性26人。
筋トレは週2で、実験期間は8週間。
| 摂取カロリーとPFCバランス | 均等 | 偏り |
|---|---|---|
| 摂取カロリー | 2456kcal | 2543kcal |
| タンパク質量 | 1.45g/体重 | 1.30g/体重 |
| 朝食のP量 | 22.6g | 7.68g |
| 昼食のP量 | 31.8g | 30.0g |
| 夕食のP量 | 32.4g | 55.4g |
筋肉量はほぼ有意差のp=0.056と均等配分に有利な結果になりました(均等+2.50kg vs 偏り+1.77kg)
週末はほぼ食事を取らない5:2ダイエット
次は平日は普通に食べて、土日はほぼ絶食する”5:2ダイエット”です
筋トレ未経験者の肥満ぎみ男女44人を集めた研究。2つのグループに分かれて週2の筋トレを12週間してもらった。実験期間は12週間。
- 常に20%のカロリー制限
- 週末に70%の断食
実際の摂取カロリーは下記のとおり。
| 2022年の研究 | 男性(断食以外の日) | 女性(断食以外の日) | 男性(断食日) | 女性(断食日) |
|---|---|---|---|---|
| 摂取カロリー | 2297kcal | 1630kcal | 595kcal | 445kcal |
| タンパク質量 | 1.6g/体重 | 1.4g/体重 | 1.1g/体重 | 1.0g/体重 |
週末は数百kcalでほとんど食べない、という断食パターンです。
実際の各グループの摂取カロリーとPFCバランスは下記。
| 2022年の研究 | グループ | 実験前 | 実験中 | 変化量 | P(time) | P (Group×Time) |
|---|---|---|---|---|---|---|
| 摂取カロリー | 断食(男性) | 1943kcal | 1834kcal | -109kcal | 0.006* | 0.69 |
| 普通(男性) | 1964kcal | 1906kcal | -58kcal | |||
| 断食(女性) | 1682kcal | 1323kcal | -359kcal | |||
| 普通(女性) | 1784kcal | 1485kcal | -299kcal | |||
| タンパク質 | 断食(男性) | 1.3g/体重 | 1.5g/体重 | 0.2g/体重 | < 0.001* | 0.48 |
| 普通(男性) | 1.1g/体重 | 1.5g/体重 | 0.5g/体重 | |||
| 断食(女性) | 1.1g/体重 | 1.3g/体重 | 0.3g/体重 | |||
| 普通(女性) | 1.2g/体重 | 1.4g/体重 | 0.2g/体重 | |||
| 糖質 | 断食(男性) | 2.2g/体重 | 2.1g/体重 | -0.2g/体重 | 0.001* | 0.51 |
| 普通(男性) | 2.4g/体重 | 2.3g/体重 | -0.1g/体重 | |||
| 断食(女性) | 2.5g/体重 | 1.6g/体重 | -0.9g/体重 | |||
| 普通(女性) | 2.6g/体重 | 1.9g/体重 | -0.6g/体重 | |||
| 脂質 | 断食(男性) | 0.9g/体重 | 0.8g/体重 | -0.1g/体重 | < 0.001* | 0.56 |
| 普通(男性) | 0.9g/体重 | 0.7g/体重 | -0.2g/体重 | |||
| 断食(女性) | 1.1g/体重 | 0.7g/体重 | -0.3g/体重 | |||
| 普通(女性) | 1.0g/体重 | 0.8g/体重 | -0.2g/体重 |
各グループは1日あたりにすると、摂取カロリーもPFCバランスも大体同じになるように揃えられていることがわかります。
このようにして純粋に”週末断食”の効果を調べるべく、12週間後に筋肉量や筋肉厚さを測定したところ結果は以下のようになった。
| 2022年の研究 | グループ | 実験前 | 12週間後 | 変化量 | P(Time) | P (Group×Time) |
|---|---|---|---|---|---|---|
| LBM (kg) | 断食(男性) | 64.4kg | 65.7kg | 1.3kg | < 0.001* | 0.47 |
| 普通(男性) | 64.6kg | 65.0kg | 0.4kg | |||
| 断食(女性) | 43.0kg | 45.4kg | 2.4kg | |||
| 普通(女性) | 43.2kg | 45.8kg | 2.6kg | |||
| RF Thickness (cm) | 断食(男性) | 1.83cm | 1.98cm | 0.15cm | < 0.001* | 0.05 |
| 普通(男性) | 1.95cm | 2.17cm | 0.22cm | |||
| 断食(女性) | 1.78cm | 1.82cm | 0.04cm | |||
| 普通(女性) | 1.49cm | 1.64cm | 0.15cm | |||
| RF CSA (cm2) | 断食(男性) | 6.37 | 7.43 | 1.06 | < 0.001* | 0.07 |
| 普通(男性) | 6.85 | 7.96 | 1.11 | |||
| 断食(女性) | 6.16 | 6.19 | 0.03 | |||
| 普通(女性) | 4.28 | 5.14 | 0.86 |
大腿直筋の筋肉厚さと断面積は、ほぼ有意差のそれぞれp=0.05,0.07となっている。
この研究でも、もう少し長期間に渡って実験していたら筋肉に不利な結果になった可能性が十二分にあります。
おまけ:1日3食vs1日1食は?
被験者は筋トレをしている人…かはわかりませんが、1日1食の研究もあります。
1日1食(vs1日3食)を比較した研究。筋トレの有無は不明。実験期間は11日間。
- 1日3食→2404kcal
- 1日1食→2307kcal
| 2022年の研究 | 3食 | Time | 1食(17-19時) | Time |
|---|---|---|---|---|
| 体重 | -0.5kg | → | -1.4kg | ↓ |
| 脂肪量 | -0.1kg | → | -0.7kg | ↓ |
| 筋肉量 | -0.3kg | → | -0.7kg | → |
こちらの研究では脂肪だけが落ちて筋肉は変化がなかった…という結論になっていますが所詮は11日間。
もう少し長い期間を取っていたら筋肉に不利な結果となる可能性は全然あります。
長期的に16時間断食を行うと筋肉が減少するかも・・・
先ほどの研究はどれも「ほぼ有意差」という結果で、長期間では有意差となる可能性が十分にあります。
そして最近になって、16時間断食すらも長期間だと筋肥大を阻害する可能性が出てきたので紹介しよう。
1年間におよぶ16時間断食をしてもらった
1年間におよぶ16時間断食の効果を調べた研究。2グループに分かれて週3の筋トレをしてもらった。
- 普通の食事:8時・13時・トレ後(16-18時)・20時に食事を摂取
- 16時間断食:13時・16時・トレ後(16-18時)・20時に食事を摂取
1年間という、今までの研究よりもかなり長い期間における16時間断食の効果を調べた研究です。
| 摂取カロリーとPFCバランス | 普通 | 16時間断食 |
|---|---|---|
| 摂取カロリー | 2942→2978kcal | 2760→2580kcal |
| タンパク質 | 1.93g/体重 | 1.92g/体重 |
| 糖質 | 53.9% | 53.3% |
| 脂質 | 24.0% | 22.7% |
筋肉厚さに関する結果は下記のとおり。
- 筋肉量は断食グループに不利だった!(断食:-1.21kg vs 普通:+2.03kg)
- 腕の筋肉厚さは断食グループに不利だった!(断食:-2.1cm2 vs 普通:+5.19cm2)
- 脚の筋肉厚さは断食グループに不利だった!(断食:-4.3cm2 vs 普通:+8.04cm2)
もう少し詳しく見てみよう
| 1年間の断食研究 | 普通 | 断食 | ||||
|---|---|---|---|---|---|---|
| 実験前 | 2ヶ月 | 12ヶ月 | 実験前 | 2ヶ月 | 12ヶ月 | |
| 筋肉量(kg) | 74.17 | 74.72 | 76.20 | 73.43 | 73.90 | 72.22 |
| 腕の筋肉厚さ(cm2) | 47.70 | 49.00 | 52.89 | 48.50 | 48.93 | 46.40 |
| 脚の筋肉厚さ(cm2) | 145.66 | 149.03 | 153.70 | 146.21 | 147.13 | 141.91 |
筋肉量に関する測定値は断食グループに不利という結果に。
この研究に関しては、2つの解釈が考えられます。
- カロリー制限を長期間続けた結果、筋肥大が阻害された
- 16時間断食を長期間続けた結果、筋肥大が阻害された
16時間断食をしたグループはカロリーもマイナスになっているので、どちらのせいで筋肥大が阻害されたのかは謎です。



え?でも-200kcalまでなら筋肥大は阻害されないんじゃないの?



短期的には-200kcalまでなら筋肥大が阻害されないかもしれませんが、長期的には阻害される可能性はあります
「カロリー制限は筋肥大を阻害するのか?」という研究
「カロリー不足は実際に筋肥大を阻害するのか」を調べたメタ分析。
研究52件を集めて、体重の減少量から実際のカロリー不足量を測定した。
実際の結果は下記のとおりです。


横軸はカロリー制限料で、赤い線がおおよそ-200kcalのライン。
そして縦軸は筋肥大の効果量を表しており、真ん中より上はプラスで下はマイナスとなっている。
赤い線より左側の研究はどの研究もプラスで、赤い線より右側の研究はマイナスが多いためカロリー制限量は-200kcal以内であれば筋肥大が達成できる可能性が高いです。
とはいえこのメタ分析に含まれている研究も、数ヶ月の短期的研究がほとんど。
いくら-200kcal程度のカロリー制限とはいえ、長時間行うと筋肥大が阻害される可能性がある。
先ほどの1年間の16時間断食の結果も、マイナスカロリーによる長期的デメリットの可能性もあれば断食による長期的デメリットの可能性もあります。
まとめ
今回は「筋肥大に有利な食事時間×回数」についてまとめた。
- 「食事を細かく摂れ!」理論はMPS研究からもたらされた
- ①MPS刺激にはタンパク質が重要
- ②タンパク質によるMPS刺激は”0.24g/体重”で頭打ちに
- ③食事後3時間ほどはMPSを刺激できない不応期が存在する
- 筋肥大のためには”絶食は16時間”×”1日3食”くらいが無難
- 16時間断食も年単位で行うと筋肥大を阻害するかも
一言で言うならば「1日3食のタンパク質摂取をとっておけばOK」ということになります。
1日3食を1日6食に増やしたからと言って、筋肉が増えるかどうかはわりと怪しい。
しかし1日6食に増やしたからといって、デメリットがあるわけでもない。
1日6食を摂ることがストレスでないなら、そうしておいてももちろん問題はない。



とはいえMPS理論に振り回されすぎるのもバカらしいので、1日3食は摂っておけばいいと思います。









