カフェインは運動のパフォーマンスを上げるの?
カフェインは睡眠を乱す??
ようじゅ今日はカフェインは運動パフォーマンスを上げるのかということについてご紹介していきたいと思います
- カフェインがまずそもそもどのように運動パフォーマンスを上げるのか
- 運動の種類によって効果が変わるのか
- カフェインの運動パフォーマンスも遺伝の影響を受けるのか
- 性別による違いあるのか
- カフェインの睡眠を阻害しない摂取時間は?
カフェインとパフォーマンス研究の歴史
まずはカフェイン研究の歴史から紹介します。
1907年代の研究
まず一番最初にカフェインが運動パフォーマンスを上げることを示した研究は1907年のもの。
カフェインによるエルゴジェニック効果を初めて示した研究


カフェインを摂取したグループのほうが仕事量が多いことがわかる。



手書きという時代を感じさせる研究ですね
それからだいぶ間が空き、1979年に再度カフェインのパフォーマンスアップ効果を示した研究が出てくる。
カフェインによるエルゴジェニック効果を示した研究。


こちらでも実際にカフェインをとった▲のグループは仕事量が多いことがわかります。
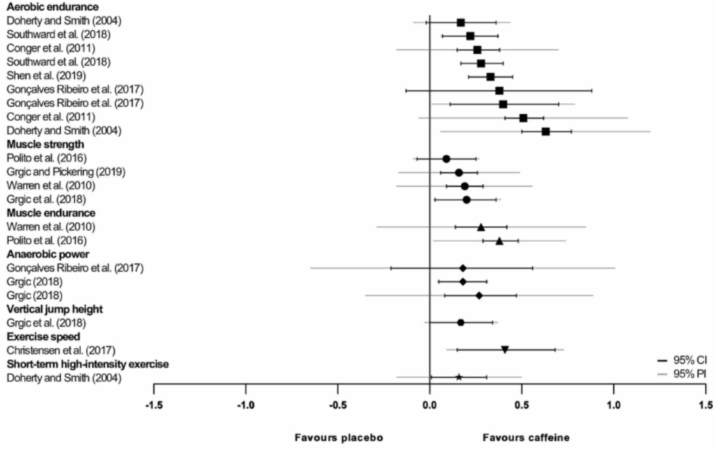
2020年:「カフェインのパフォーマンスアップを調べたメタ分析」のメタ分析
そこから研究が進み、カフェインのパフォーマンスアップ効果をメタ分析したものを、さらにメタ分析したアンブレラレビューが出てくる。
- 「カフェインのメタ分析21件をまとめた」
- 抜き出されたのはレビュー論文11件(合計21件のメタ分析)


実際の結果は下記のとおり。
- 有酸素運動:効果量0.22-0.61
- 筋持久力:効果量0.28-0.38
- パワー:効果量0.18-0.27
- 筋力:効果量0.16-0.20



どの運動のタイプにおいても、確かに効果があることが確認されました
ほとんどの研究で「6mg/体重の投与&テスト1時間前」だったので、1時間前に6mgのカフェイン摂取でパフォーマンスが向上するというのが確立された話になってくる。
カフェインのメカニズムは?
今となっては運動パフォーマンスアップ効果が示されたカフェイン。



研究が進み、どんなメカニズムなのかも解明されてきています
カフェインのメカニズム①中枢神経作用
カフェインの構造はアデノシンと似ている
カフェインの正式名称は1,3,7-トリメチルキサンチン。



メチル基が3つずつ付いたキサンチンってことです
キサンチンは黄色を表すギリシャ語が名前の由来で、実際にキサンチンと画像検索すると黄色い液体が出てくる。
このキサンチンに3つのメチル基がついたのがカフェインだが、カフェインの構造は体内に存在するアデノシンと似ている。





構造が似ているので、アデノシン受容体に結合することができます
しかしアデノシン受容体を活性化するほどには構造が似てない。
なのでアデノシン受容体を阻害するアデノシン受容体アンタゴニストという働きを持っている。
アデノシンは疲労を引き起こす物質
アデノシンとはそもそも何なのか?
アデノシンは簡単に言えば疲労に関係している物質で、アデノシン濃度は1日を通して上昇していく。



エネルギー通貨のATPの分解物がこのアデノシンです


このATPは正式名称で言うとAdenosine Tri Phosphate。
アデノシンに3つのリン酸基がついた化合物だが、このリン酸基にエネルギーが蓄えられている。
このATPっていうのはエネルギー通貨として働き、リン酸基をどんどん切り離していくことによってエネルギーを作り出す。



その3つついてるリン酸菌を全て使い切った状態の分解物がアデノシンになります
エネルギーが使われるとアデノシンが蓄積し、この蓄積したアデノシンが脳内の受容体に結合すると疲労を感じる。
カフェインといえば目が覚めるっていうイメージがあるが、これはカフェインがアデノシン受容体と結合することでアデノシンが結合できなくなることが原因。
結果的に体は疲労感感じにくくなるのだが、これがカフェインの中枢神経作用になる。
カフェインのメカニズム②末梢組織への作用
カフェインは筋肉の収縮を助ける
カフェインは中枢神経じゃなくて、末梢神経系でも直接筋肉を補助するような働きを持っている。
実際にどういう働きがあるかというと、筋収縮に必要なカルシウム放出を促進する働き。(R)


もう少し詳しく説明すると、まず脳からの中枢神経系の指令によってアセチルコリンが放出される。
そのアセチルコリンが筋肉細胞に到達すると、筋肉からカルシウムイオンが放出される。
そして、このカルシウムイオンの放出を合図にして筋肉の収縮が開始されるのだ。
カフェインは、カルシウムの放出を促進するかつカルシウムの再取り込みを阻害する。



簡単に言ってしまえば、カフェインはカルシウムを出っ放しになるように働くことで筋収縮を助けます
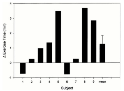
中枢神経とのリンクが切れている被験者でパフォーマンスが向上した
カフェインは中枢神経を刺激してしまうので、末梢組織だけを調べるのは難しい。



これを可能にしたのが半身不随の人を対象にした研究です
脊椎損傷による下半身麻痺患者9名に6mg/体重のカフェインを摂取してもらい、サイクリングで筋持久力を測定した
結果は下記のとおり。


被験者が9人いて、一番右が平均値。



筋持久力が平均して6%向上していることがわかります
半身不随の人というのは、脊椎を損傷していて脳と実際の下半身の神経伝達が分断されてる。
そんな人たちに電極をつけて足を人為的に動かしたところ、カフェインを摂取した状態はそうでない場合より平均して6%のパフォーマンス向上を示した。
中枢神経系とのリンクが切れているのにパフォーマンスが向上したので、これは筋肉に直接作用してるはずだという話になる。
一番最初に紹介したアデノシンの中枢神経作用とは別に運動パフォーマンス向上のメカニズムとして結び付けられたのがカルシウム放出なのだ。
カフェインの遺伝による効果
ここで先ほどの研究結果をもう一度見てみよう。


平均値こそパフォーマンスが向上しているが、個人個人を見るとパフォーマンスが低下している人もいればパフォーマンスが向上している人もいるのがわかる。
カフェイン研究は個人差が大きく、この個人差が何に由来しているのかが議論になりがち。
そこで注目の的になったのが遺伝子。
カフェインのパフォーマンス向上に寄与していると思われる遺伝差だが、主に2つの要因がある。
遺伝子①CYP1A2
まずはカフェイン代謝の要となっている”CYP1A2″。
チトクロームP450(CYP)はすべての薬物代謝の75%を担うヘムタンパク質で、肝臓に存在するCYP1A2はカフェイン代謝の90%以上を担っている。(R)


カフェインはテオフィリン・パラキサンチン・テオブロミンなどに代謝されますが、どれもCYP1A2が関わっている。
このCYP1A2遺伝子には3つの組み合わせがあり、A/Aのホモ接合体だと「代謝が早い」、CCのホモ接合体またはA/Cのヘテロ接合体だと「代謝が遅い」ということになる。
遺伝子②ADORA2A
そしてもう一つの遺伝子が、カフェインの結合先であるアデノシン受容体に関する遺伝子。
ADORA2A遺伝子は、アデノシン受容体A2Aをコードする遺伝子。(R)
TT、CT、CCの3種類があるが、TTヒトは不安が惹起されやすかったことからカフェイン感受性が高いと言われる。(R)
ADORA2Aの遺伝子を持つ人はアデノシン受容体が多く、カフェインが効きやすい説があるのだ。
初期研究では遺伝差が報告されていた
これらのカフェインに関する遺伝子だが、実際に遺伝子で運動パフォーマンスアップ効果に違いがあったとする研究がある。
- CYP1A2を調べた2012年の研究では、AAホモ接合体を持つ人は1つ以上のC遺伝子を持つ人よりもタイムトライアルの成績向上が有意に高かった(4.9% vs 1.8%)(R)
- 2015年の小規模研究では(女性12人)、カフェインはTT遺伝子型の女性グループでは10分間のサイクリングタイムトライアルを有意に改善したが、C対立遺伝子を含む群では改善しなかった(R)
それでは遺伝子型がパフォーマンスアップ効果を決める…と思いきや、そういうわけでもなさそうなのが現状。
最近の研究ではそうでもなさげ
被験者となったのは男性サイクリスト40名。
テスト55分前にカフェイン or プラセボを摂取してもらい、タイムトライアルを行った
- カフェインはタイムトライアルの時間を1.14分短縮し(29.65分vs30.78分)、平均出力を有意に増加させた(261Wvs252W)が遺伝子型による効果はなかった
- カフェインの効果に対する認識は、パフォーマンス向上の大きさとは関連していなかった(ρ=-0.12)
- カフェインのエルゴジェニック効果は、習慣的なカフェイン摂取量と関連がなかった(r=-0.09)
実際の結果が下図。




ぱっと見で図がカラフルになっている…すなわち遺伝子による優劣が見られなかったことがわかる。
他の研究でも遺伝子による影響はなかったとするものがある。
被験者となったのは18人の男女。
パフォーマンステストの1時間くらい前に3mgのカフェイン or プラセボを摂取してもらい、15分間できるだけ多くサイクリングをしてもらった。
実際のパフォーマンステストの結果が下図。


遺伝子に関わらずパフォーマンスの向上度合いには差が大きく、平均値を取ると同じくらいパフォーマンスが向上していることがわかる。
最近のメタ分析などでも、遺伝子による影響は少ないという結果のものが多くなっている。
- 2021年のCYP1A1を調べたレビューでも、高強度運動8件中遺伝子型による違いを報告したものは2件だけ(R)
- 1件は0.3-1.1レップの増加を示した(ベンチプレス・レッグプレス・シーテッドロー、ショルダープレス)
- もう1件はハンドボール投げの速度を向上させただけ。(8件中1件だけ)
- 2022年のメタ分析(R)
- 「カフェインの運動パフォーマンスに対する変動要因」を調べた
- 遺伝子型や性別は影響を与えなかった
初めのほうこそ個人差の要因だと思われていた遺伝差だが、最近ではすっかり下火になっている。
初めの方こそもてはやされていた理論が、後々になってしぼみがちになるというのは研究あるあるです。
遺伝子型は副作用に影響を与えるかも
しかし、遺伝子は全くカフェインに影響がないかというとそういうわけでもない。
カフェインの副作用である睡眠障害に影響を与える可能性があるのだ。
- コーヒーが健康に与える悪影響を調べた研究
- 14日間にわたって、被験者にはカフェインを摂取するorしないを指示したクロスオーバーデザイン
結果は下記のとおり
- コーヒーを飲んだ日は、コーヒーを飲んでいない日より1058歩有意に多く歩いた(10,646歩 vs 9,665歩)
- コーヒーを飲んでいない日は、コーヒーを飲んだ日より36分有意に多く寝た(397分 vs 432分)
- 日頃から1日1杯以上のコーヒーを飲む人は睡眠が28.9分減少したのに対して、1日1杯未満の人は52.6分減少した
- 遺伝子型で分類したところ、代謝速度が中間と遅い人はそれぞれ34分と47分の睡眠を失ったのに対して、代謝速度が速い人は33分増加した
代謝が遅い人はカフェインによって睡眠が乱されたのに対して、代謝が早い人は(活動の量の増加によってなのか)睡眠が増えたことが報告されている。
ちなみに代謝型は「早い:中間:遅い=13:34:41」だったので、自分が稀有な代謝が早い型である可能性は低い。
つまりカフェインを摂取するとかなりの確率で睡眠を乱される可能性が高くなると思われる。
睡眠とカフェインの問題
ここでもう少しカフェインの睡眠障害に関する話を掘り下げてみる。
カフェインは寝る6時間前に摂取すべき?
カフェインは寝る6時間前までに摂取すべき!
ネットで調べると出てくるこの話ですが、実は根拠が曖昧。
その根拠となっているのは主に2つ。
- 根拠①2013年の研究(R)
- 「就寝前の0,3,6時間前のカフェイン摂取が睡眠を阻害するのか」を調べた
- 結果としてどの時間でも阻害された
- 根拠②カフェインの半減期は4-6時間
まず根拠の一つ目となっている研究だが、これは就寝6時間までのカフェイン摂取はどの時点でも睡眠を乱したというもの。
この研究では7時間前なら大丈夫なのか?はたまた9時間前でないとダメなのかは不明。
そして二つ目の根拠となっている半減期の話だが、半減期というのは血中カフェイン濃度が半分になるまでの時間のこと。
血中カフェイン濃度が半分になるまでの時間が6時間なだけで、就寝6時間前まで摂っていいというのは割と暴論。
ちなみにカフェインの半減期は2-10時間と個人差が大きいことがわかっている。(R)
実は一般的に思われているほど、就寝何時間前にカフェインを取れば睡眠を乱されないのかというのは確立された話ではないのだ。
摂取量別!睡眠を乱さないカフェインの摂取時間
そんな中、去年にかなりいい感じのメタ分析が登場。
- 「就寝前にカフェインを摂取すべきでない時間」を調べたメタ分析
- 抜き出された研究は24件
実際の結果は下記のとおり。
- カフェイン摂取は睡眠時間を45分低下させた
- カフェイン摂取は睡眠効率を7%低下させた
- カフェイン摂取を入眠時間を9分増加させた
- カフェイン摂取は入眠後の覚醒時間を12分増加させた
- カフェインは深い睡眠の時間(-11.4分)と割合(-1.4%)を減少させた
カフェインは総じて、睡眠にマイナスの効果を及ぼしたことが示された。
そしてカフェイン量別で、午前10時に寝ると仮定した場合のカットオフ値(回帰直線の95%信頼区間がゼロと重ならない点)も算出されている。


- 217.5mg→8:50頃(13.2時間前)
- 107mg→13:12頃(8.8時間前)
- 47mg→寝る直前もOK
サプリで使われるような200mgのカフェインを睡眠を乱さずに取るためには、まさかの朝9時前には摂らなければならないということがわかった。
しかも200mgというのは、実際に効果が確立されている6mgよりもかなり少ない。
睡眠を乱さないためには低用量がいいですが、そもそも低用量ではパフォーマンスを向上させるか分からないという問題にぶち当たるのだ。
低用量でもカフェインは効果があるのか?
ここからは低用量でもカフェインは効果があるのか?に話題を移そう。
まずは100mgという低用量を調べた研究から。
- 被験者となったのはトレーニング未経験の女性19人。
- 彼女らにカフェイン100mg or プラセボ(ビタミンD2)でパフォーマンステストをしてもらった
- クロスオーバーデザイン
被験者は100-300mgのカフェイン常習者で、体重に換算すると1.5±0.18mg(2mg未満)。
結果は下記のとおり。
- MVCテスト(ピークトルク)はカフェインのほうが高かった
- 筋持久力は仮説検定では有意差がなかったが、同等性テストで同等ともならなかった
- カフェインは知覚努力/不快感の尺度に影響を与えなかった
筋力にはポジティブな効果を発揮しましたが、筋持久力ではプラスの効果が見られなかったという結果になっている。
そして低用量のカフェイン研究で参考になるのがエナジードリンクの研究。
| 研究 | 被験者 | グループ | 結果 |
|---|---|---|---|
| 2010年 | 男性15人 | 2mg vs 5mg | ・5mgのみが5~8%のパフォーマンス向上 |
| 2020年 | 男性28人 | プラセボ vs 2mg vs 4mg vs 6mg | ・下半身筋力は2mgのみ ・上半身は4mg & 6mgのみ ・持久力は全用量で増加 |
| 2022年 | 男女12人 | 1mg vs 3mg | ・3mgのみがスクワット&ベンチのパワー⤴️ |
これらの結果を見ると、従来の投与量より少ない1.5-2mgでも効果が見られる可能性は十分にあると言えそうだ。
カフェインの効果に男女差はある?
次の話題はカフェインの性差。
カフェインの効果には男女差があると考えられているワケ
実はカフェインの効果は男女で違うのでは?という理論的根拠がある。
- カフェイン研究は男性がほとんど
- エストロゲンはCYP1A2によるカフェインの代謝を阻害する(R)
実際に女性ホルモンの合剤である経口避妊薬はカフェインの半減期を2倍にすることがわかっています(R)
実際にパフォーマンスを測定した研究はどうなのか?
それでは実際にパフォーマンス向上効果に差はあるのだろうか。
実際にパフォーマンステストをした研究を見てみよう。
被験者となったのは男女27名。
90分前にカフェイン3mg or プラセボを摂取してサイクリングのタイムトライアルをしてもらった。
- 男性も女性もカフェインで有意にパフォーマンスが改善した!
- パフォーマンス向上の大きさは男女で差がなかった!(男性4.6% vs 女性4.3%)
理論とは裏腹に、この研究では性差はなかったことが報告されている。
- 2014年の研究では、カフェイン入りのガムで男女ともに同じくらいサイクリングのタイムが向上した(R)
- 2kmのボート漕ぎについて調べた研究
おおむね男女で差はないけれど、女性の方が高容量じゃないと反応しない説がある。
つまり、女性のほうがカフェイン感受性が低い説があるのだ。
カフェインの筋肉痛緩和作用にも男女で差がある?
実はこの結果はカフェインの筋肉痛緩和効果でもみられる。
カフェインは筋肉痛に効くことが報告されている。
そして女性ホルモンのエストロゲンには筋ダメージの保護作用があることから、筋肉痛にも男女差があるのでは?と言われることがあります(R)
ここでも同様に実際に測定した研究をみてみよう。
被験者となったのは大学生の男女20名。
VO2max70%のダウンヒルランニング24時間後と48時間後にカフェイン or プラセボを摂取してもらった。
ダウンヒルランニングは、大量のエキセントリック負荷を伴うので意図的に筋損傷を引き起こすためによく使われる方法です(R)
- カフェインは筋損傷中のMVICを有意に向上させた(10.2%)
- この効果は性差を受けなかった
- カフェインは筋肉痛のスコアを有意に減少させた(p<0.001)
- この効果は女性よりも男性で顕著だった(男性21.5% vs 女性4.6%)
- カフェインは血中カリウム濃度を低下させた
- この効果は女性よりも男性で顕著だった(男性16.9% vs 女性1.3%)
こちらの研究でも、男性のほうがカフェインの恩恵を受けることができたということになっている。
とはいえ「女性なら6mgのカフェインを摂ろう!」というつもりはない。
というのも2013年の「3mg vs 6mg vs 9mg」を比較した研究では、9mgでは急激に副作用が起きる確率が高まることが報告されているから。(R)
カフェインは男性のほうが感受性が高い可能性はありますが、女性で高用量を取るのもそれはそれでリスクです。
そもそも同じ被験者でも日によって差が出る
それでは結局、この個人差は何からもたらされているのか…そもそも原因なんて無い説があります
被験者となったのは男性22名。
筋トレ前にカフェイン3mgを摂取 vs プラセボを比較するパフォーマンステストを3回行った。
普段は1回しかしないパフォーマンス比較を、同じ被験者とプロトコルで3回試した研究になる。
限界までで何レップできるかを測定し、効果量を測定したところ以下のような結果に。
| エクササイズ | セット | テスト1 | テスト2 | テスト3 | 平均 |
|---|---|---|---|---|---|
| チェストプレス | セット1 | 0.24 | 0.43 | 0.00 | 0.25 |
| セット2 | 0.83 | 0.25 | 0.25 | 0.25 | |
| ショルダープレス | セット1 | 0.28 | 0.56 | 0.28 | 0.56 |
| セット2 | 0.65 | 0.33 | 0.39 | 0.65 | |
| スクワット | セット1 | 0.43 | 0.98 | 0.43 | 0.43 |
| セット2 | 0.25 | 0.49 | 0.28 | 0.25 | |
| デッドリフト | セット1 | 0.39 | 0.49 | 0.32 | 0.18 |
| セット2 | 0.25 | 0.49 | 0.33 | 0.25 |
全部同じ被験者を使って同じ手順で行ったプロトコルなのに、効果量が0.00(全く効果なし)から効果量が0.98(かなり効果が大きい)まで分布していることがわかります
実はカフェインの効果というのは、そもそも同じ個人を使ったとしても再現性が低い。
つまりカフェインの効果は試さないとわからないうえ、カフェインを取ったからといって毎回パフォーマンスが上がるかって言われるとそれもまた微妙。
カフェインを取ったらめっちゃパフォーマンスが上がる日もあれば、パフォーマンスが上がらない日もあるというのは全然あり得るのだ。
カフェインの長期的な効果は?



短期的なパフォーマンス研究ばかりだけど、長期的な効果はどうなの?
ここで長期的な効果を調べた研究を紹介しよう。
- 被験者となったのは健康な男女16名
- 1日あたりのカフェイン摂取量は0.99mg未満で、筋トレ歴は1年以上
- ベンチプレスの1時間前に3mgのカフェインorプラセボを摂取で2グループに分けられた
- ベンチプレス(とカフェイン摂取)は週三(月・水・金)で、実験期間は4週間
結果は下記のとおり
- ベンチプレス1RMは・・・
- どちらのグループもテスト前からテスト後にかけて有意に増加した
- 相対的な増加率はカフェイングループのほうがわずかに大きかったが、その差は小さかった
- パワーは・・・
- 平均パワー値に群間差はなかった
- カフェイン群は10負荷のうち8負荷で平均パワーが増加したのに対して、プラセボ軍では10負荷のうち2負荷でしか有意な群間差を示さなかった
実際に結果を図示したのが下記。




カフェインは劇的な改善を示したわけでは無いが、効果が全く無いというわけでもないというなんとも微妙な結果になっている。
カフェインには耐性ができる?
カフェインの長期的な効果について考えた時、多くのひとが気になるのが”耐性”の存在でしょう
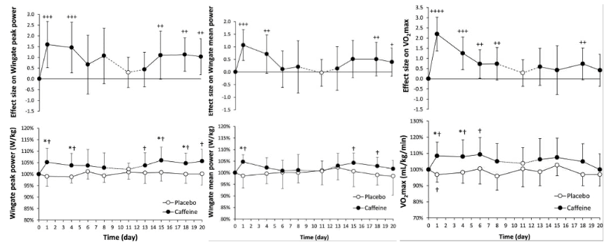
ということで実際に、カフェインの運動パフォーマンスアップ効果には耐性がつくのかを示した研究を紹介する。
- 「20日にわたるカフェイン摂取によるエルゴジェニック効果を調べた」
- 被験者となったのは健康で活動的な男女11人。クロスオーバー試験
- 被験者は1日あたりのカフェイン摂取量が50mg未満のカフェイン非摂取者
- 実験11日目だけパフォーマンステスト”後”にカフェインorプラセボを摂取
結果は下記のとおり。


一言で言えば、カフェインの効果は減弱したが消失するほどはなかった。
他の研究でも同じような傾向がみられます
- 2002年の研究で、カフェイン非常飲者(1日50mg未満、投与量390mg)はカフェイン常飲者(1日300mg以上、投与量390mg)に5mg/体重のカフェインを摂取してもらった (R)
- どちらのグループもカフェインはプラセボよりもパフォーマンスを向上させた
- しかし、パフォーマンスの向上はカフェイン非常飲者のほうが大きかった
- 2017年の研究では、低カフェイン摂取者に3mg/体重(投与量222mg)のカフェイン摂取をした後にサイクリング試験をした (R)
- 3mg/体重を3週間にわたって摂取したところ、カフェインの急性パフォーマンス向上効果は減弱した
カフェインの効果は減弱する可能性はあるが、消失するほどかと言われるとそういうわけでもなさそうだ。
習慣摂取量によって変わるかを調べた
先ほどの研究は20日だから耐性ができなかった説があります。
ということでここからは習慣摂取量によるカフェインの効果を調べた研究を紹介します
- 被験者となったのは週4回・150km以上サイクリングする男性40人
- 3グループに分かれてカフェインを摂取してもらったのち(1時間前)、サイクリングのタイムトライアル
- コントロール
- プラセボ
- カフェイン6mg
- 日々のカフェイン摂取量によってグループ分けをし、効き目の違いを調べた
- 低カフェイン摂取:2-101mg(432mgの投与)
- 中カフェイン摂取:104-183mg(450mgの投与)
- 高カフェイン摂取:190-583mg(456mgの投与)
結果は下記のとおり


文面上は「有意差なし」となっていますが、明らかに様子がおかしいことに気づきます
効果の平均値に差がないのではなく、単に高カフェイングループはばらつきが大きいために有意差となっていないのだ。
これは他の研究でも見られる傾向で、例えば2022年のメタ分析でも摂取量が習慣量よりも低いとばらつきが増えがちなことが見て取れる。(R)
つまり、習慣摂取量より低い量のカフェインでは効果に一貫性がなくなりがちなのだ。
実際に耐性というのは、一般の人が思われているほど確立された話ではない。
例えば根拠となっている研究は10mg/体重のカフェインを14週間投与したところ脳皮質のアデノシン受容体が増加したというラット研究だったりする。(R)
ラットかつ高用量の研究なので、実際にヒトで耐性がつくかは微妙なのだ。
結局、カフェインの効果とはなんなのか?
結局、カフェインの効果はどうなのか…その問題について調べたメタ分析を紹介します
「カフェインのエルゴジェニック効果は普段の摂取量によって影響を受けるのか?」を調べた
抜き出された研究は60件で、被験者の総数は1137人(男性958人、女性179人)。
大規模に被験者を抜き出したメタ分析で、結果は下図。
- カフェインは持久力・パワー・筋力のいずれにおいても小さいが確かに効果があった(ES=0.25)
- 習慣的なカフェイン摂取は、観察された効果の大きさに有意な影響を与えなかった(p=0.59)
- カフェインのエルゴジェニック効果は多くの要素で変わらなかった
- 運動の種類(持久力、筋力、パワー)
- トレーニング歴
- 性別
- 習慣的なカフェイン摂取量
- カフェインは<3mgと3-6mgで同様のエルゴジェニック効果を示したが、>6mgではエルゴジェニック効果を示さなかった
- 信頼区間が広がり0を跨いだ(パフォーマンスの個人変動が大きい)
カフェインは平均的に見たら確かにエルゴジェニック効果を示し、一番確立されている1時間前に6mgの摂取よりも低用量でも効く可能性が十分にあるのだ。
まとめ
- カフェインはいかなる運動でもパフォーマンスを高める効果がある
- 一番確立されてるのは1時間前に6mg/体重の摂取
- 1.5mgとか2mgぐらいでも十分に効く可能性はある
- カフェインは毎日摂取すると確かに効果が弱まる可能性がある
- 完全に効果が消失するかは微妙
- カフェインの耐性が気になるっていう人は運動する日だけトレーニングの日だけ取るようにする方が確実
- あるいは日頃はコーヒー1杯ぐらいにしといて運動する時だけサプリでガッツリカフェインを入れる
- 遺伝とか性別の話は、実際気にするほどでもない
- サプリレベルのカフェインを摂取すると朝トレをしてない限り睡眠に影響を及ぼす可能性がでかい










コメント